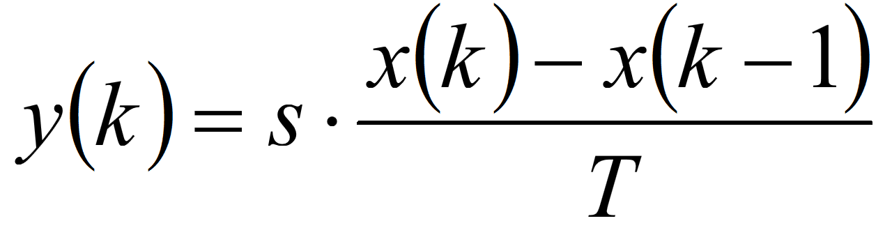
The module DIFFT calculates the first time-derivative of the input signal:

Arg |
Description |
|---|---|
0 |
Name of input signal x |
1 |
Factor s |
2 |
Physical unit of the output signal |
[3] |
Bit factor m of the output signal quantization |
[4] |
Offset t of the output signal quantization |